Jump to content

Problem with connecting portals in multi shards server


Recommended Posts

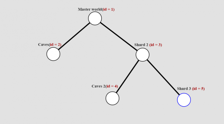
Hi guys. I run dedicated server with 5 shards, scheme looks like this:

 

Spoiler

img.thumb.png.b4b52dacf2a7e012a696942bb42ba41e.png

I setup Shard configuration mod 2.0.3 and made connections to every 10 cave entrances/cave exits in every world. My modoverrides.lua looks like this(the same in every shard folders):

Spoiler

return {
    ["workshop-595764362"] = {
        enabled = true,
        configuration_options = {
            ["Connections"] = {
                ["1"] = { "2", "2", "2", "2", "2", "2", "2", "2", "2", "3" },
                ["3"] = { "4", "4", "4", "4", "4", "4", "4", "4", "5" },
            },
            ["OneWayConnections"] = {
                ["2"] = { "1" },
                ["4"] = { "3", "3" },
                ["5"] = { "3", "3", "3", "3", "3", "3", "3", "3", "3" },
            },
        }
    },
}

The server starts without problems and when I log into the server the mod starts working and set connections to the portals:

Spoiler

[00:02:03]: Shard Configuration Mod: Synchronizing connection data to slaves
[00:02:04]: Validating portal[6] <-> 2[6] (active)
[00:02:04]: Validating portal[5] <-> 2[5] (active)
[00:02:04]: Validating portal[7] <-> 2[7] (active)
[00:02:04]: Validating portal[1] <-> 2[1] (active)
[00:02:04]: Validating portal[8] <-> 2[8] (active)
[00:02:04]: Validating portal[4] <-> 2[4] (active)
[00:02:04]: Validating portal[10] <-> 3[1] (active)
[00:02:04]: Validating portal[9] <-> 2[9] (active)
[00:02:04]: Validating portal[2] <-> 2[2] (active)
[00:02:04]: Validating portal[3] <-> 2[3] (active)

At this moment everything looks fine, but when I break the Sinkhole for some reason I get two "Validating portal" commands in a row and the second one often changes portal value to -1:

Spoiler

[00:03:09]: [(KU_84Tfus3l) LaughingMind] ReceiveRemoteExecute(c_gonext("cave_entrance")) @(66.30, -201.16)
[00:03:09]: Finding a     cave_entrance    
[00:03:09]: Found 102350 (1/10)    
[00:03:16]: Validating portal[2] <-> 2[2] (active)    
[00:03:18]: Validating portal[2] <-> 2[2] (active)    
[00:03:22]: [(KU_84Tfus3l) LaughingMind] ReceiveRemoteExecute(c_gonext("cave_entrance")) @(59.02, 233.85)
[00:03:22]: Finding a     cave_entrance    
[00:03:22]: Found 102351 (1/9)    
[00:03:28]: Validating portal[9] <-> 2[9] (active)    
[00:03:30]: Validating portal[9] <-> 3[1] (active)    
[00:03:33]: [(KU_84Tfus3l) LaughingMind] ReceiveRemoteExecute(c_gonext("cave_entrance")) @(17.29, 501.23)
[00:03:33]: Finding a     cave_entrance    
[00:03:33]: Found 102352 (1/8)    
[00:03:38]: Validating portal[4] <-> 2[4] (active)    
[00:03:40]: Validating portal[4] <-> 2[5] (active)    
[00:03:44]: [(KU_84Tfus3l) LaughingMind] ReceiveRemoteExecute(c_gonext("cave_entrance")) @(-281.56, 363.37)
[00:03:44]: Finding a     cave_entrance    
[00:03:44]: Found 102353 (1/7)    
[00:03:48]: Validating portal[10] <-> 3[1] (active)    
[00:03:50]: Validating portal[10] <-> -1[1] (inactive)   

And ususally it sets 2-3 portals of every shard to -1 value and they become not usable, although I setup all 10 portal connectins in the mod. What could be the problem here?

Archived

This topic is now archived and is closed to further replies.

Please be aware that the content of this thread may be outdated and no longer applicable.

×
  • Create New...